🥦 Nutrition & Nutrients
Supplements
Research
October 15, 2025
Share
(Markus Wyss and Rima Kaddurah-Daouk, 2000)
Chemical nature and synthesis
Creatine (methylguanidoacetic acid) is a nitrogenous, non-proteinogenic amino acid derivative.
In humans, creatine is synthesized primarily in the kidneys, liver, and pancreas via a two-step pathway:
1. Arginine:glycine amidinotransferase (AGAT) catalyzes transfer of an amidino group from arginine to glycine, producing guanidinoacetate + ornithine.
2. Guanidinoacetate N-methyltransferase (GAMT) methylates guanidinoacetate using S-adenosylmethionine (SAM) to form creatine.
Some tissues (e.g. brain, testes) have limited capacity for local creatine synthesis.
After synthesis or dietary absorption, creatine circulates via the bloodstream and is taken up into target tissues via a Na⁺/Cl⁻-dependent creatine transporter (CRT, also called SLC6A8).
Roughly 95 % of the body’s creatine pool is stored in skeletal muscle (in free creatine + phosphorylated form) with the remainder in brain, heart, testes, etc.
Creatine spontaneously (non-enzymatically) degrades to creatinine, which is excreted in urine (~1–2 % of creatine pool per day).
Biochemical / physiological roles of creatine in the human body
Creatine (and its phosphorylated form, phosphocreatine) is central to high-flux energy metabolism, especially in tissues with rapidly fluctuating energy demand (muscle, brain, heart). Below are its main roles:
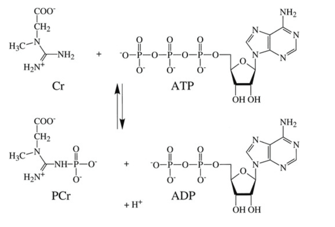
The phosphocreatine / creatine kinase (CK) system — an energy buffer and shuttle
The enzyme creatine kinase (CK) catalyses the reversible reaction:
Creatine + ATP —— Phosphocreatine (PCr) + ADP
This reaction provides a rapid buffer of high-energy phosphate, allowing ADP to be rephosphorylated to ATP during bursts of high energy demand.
In periods of high ATP consumption, phosphocreatine can donate its phosphate to ADP, rapidly regenerating ATP. Conversely, when ATP is abundant, excess phosphate is stored as PCr.
This buffering helps maintain the ATP/ADP ratio, avoiding precipitous drops in ATP during sudden energy demands (e.g., muscle contraction).
The PCr/Cr system also acts as a spatial energy shuttle: in larger cells, creatine/PCr may facilitate transport of high-energy phosphate from mitochondria (where ATP is generated) to sites of ATP consumption (e.g. contractile apparatus) via diffusion and local CK “relay” systems.
Stabilisation of cellular energetics, mitochondrial function, and redox balance
The creatine system helps stabilise mitochondrial membrane potential under periods of stress, reducing cellular damage from transient energy deficits or ischemia.
It may act as a cellular buffer against reactive oxygen species (ROS) by moderating metabolic stress and limiting overproduction of free radicals during energetic strain.
By shuttling phosphate and reducing local ADP accumulation, it can help maintain mitochondrial coupling and efficiency, and reduce fluctuations in local ADP concentrations that might otherwise inhibit oxidative phosphorylation.
Role in excitable tissues: muscle contraction, brain neurotransmission, etc.
In skeletal and cardiac muscle, the rapid regeneration of ATP via the CK / PCr system is essential to sustain contraction during brief high-power bursts (e.g. sprint, jump).
In the central nervous system, creatine helps maintain energy supply during synaptic activity, ion pumping (e.g. restoring membrane potentials), neurotransmitter cycling, and other energetically demanding processes.
Under conditions of metabolic stress (e.g. hypoxia, ischemia), the creatine/PCr system may help buffer energy supply shortfalls in neurons or glial cells.
Other cellular roles (less firmly established)
Some in vitro and theoretical studies suggest neuroprotective, anti-apoptotic, or membrane-stabilising effects of creatine, especially under pathological stress (oxidative stress, excitotoxicity)
There is speculation about creatine influencing cell signaling, gene expression, or mitochondrial biogenesis, though human evidence is still limited.
Supplementation of creatine: rationale, evidence, and limitations
“Creatine supplementation” most commonly refers to oral creatine monohydrate (CrM), which increases total creatine and phosphocreatine in tissues above baseline. Many human (and animal) studies have explored its effects in exercise, disease, and healthspan.
Effects in healthy / athletic populations
Meta-analyses and randomised controlled trials show that creatine supplementation combined with resistance training can lead to greater gains in muscle mass, strength, and power compared to placebo + training.
For example, a 2003 meta-analysis reported average improvements of ≈ +8 % in one-rep-max strength and +14 % in repetitions to exhaustion compared to placebo in strength training settings.
Creatine supplementation also improves performance in short-duration, high-intensity exercise (e.g. sprints, repeated bursts) by enhancing ATP resynthesis capacity.
Some evidence indicates creatine may help recovery, rehabilitation, or reduce muscle damage when used after injury or in heavy training cycles.
Safety data from many studies suggest that creatine, in recommended dosages, is generally well tolerated and not associated with clinically significant adverse effects in healthy individuals when renal function is normal.
Therapeutic / clinical contexts: evidence and limitations
Below are select conditions in which creatine supplementation has been studied. The evidence is mixed and often preliminary.
Condition / Domain | Rationale | Key Findings | Limitations / Notes |
|---|---|---|---|
Alzheimer’s disease (AD) | Supports neuronal energy metabolism and ATP buffering; may slow cognitive decline. | Smith et al., 2025: 8-week pilot, 20 g/day CrM ↑ brain creatine (~11%), improved muscle strength and modest cognitive gains (global cognition, working memory). | Small single-arm trial; short duration; no placebo; exploratory only. |
Depression (with CBT) | Enhances brain bioenergetics, may augment antidepressant or CBT response. | Sherpa et al., 2025: RCT—CrM + CBT improved depressive symptom scores vs CBT alone. | Small sample; limited dosage/time data; needs replication. |
Cognitive function (healthy adults) | Boosts brain phosphocreatine, potentially enhancing cognition under stress or fatigue. | Nature Sci Rep 2024: Single 0.35 g/kg CrM dose ↑ processing speed, ATP : Pi ratio, and total brain creatine. BMC Med 2023: Meta-analysis—modest improvements in memory and reasoning, especially in sleep-deprived or stressed subjects. | Effects modest; large inter-individual variability; benefit greatest under energetic strain. |
Muscular dystrophy (FSHD) | Increases intramuscular PCr, possibly improving strength and motor performance. | Woodcock et al., 2025: CrM supplementation in children with FSHD improved some strength measures (pilot data). | Small sample; early-phase; not placebo-controlled. |
Traumatic brain injury (TBI) | Provides energy buffering and neuroprotection after injury. | Sakellaris et al., 2020: Pediatric RCT (0.4 g/kg/day × 6 mo) ↓ post-traumatic amnesia duration and ICU stay; improved recovery. | Pediatric only; small cohort; replication in adults needed. |
Renal disease (hemodialysis cramps) | Improves cellular energetics in muscle during dialysis; may reduce cramping. | JISSN 2021: Single 12 g CrM dose ↓ muscle cramp frequency by ~60%. | Very small study; short-term; limited generalisability. |
Resistance training / aging muscle | Enhances ATP resynthesis during exercise, improving strength and lean mass. | Meta-analyses 2019–2024: Consistent ↑ strength (~8%) and muscle mass (~14%) vs placebo when combined with training. | Well-established effect; less data in frailty or disease populations. |
Summary & key takeaways
Creatine is a central compound in human energetics, especially for tissues with high and rapidly fluctuating ATP demand (muscle, brain).
Its main biochemical role is via the creatine kinase / phosphocreatine system, acting as an energy buffer, shuttle, and stabiliser of cellular energetics.
Oral creatine supplementation (especially creatine monohydrate) reliably increases intramuscular creatine and PCr stores and augments strength and performance in many individuals, when paired with resistance training.
In pathophysiological contexts, creatine supplementation shows promise in conditions involving energy deficits, mitochondrial dysfunction, or metabolic stress (e.g. TBI, neurodegenerative disease, neuromuscular disease, cognitive impairment). But the clinical evidence is still emerging, mixed, and often preliminary.
Safety in healthy individuals appears good for standard doses. However, in people with impaired renal function or other comorbidities, caution is warranted and clinical monitoring is essential.
References:
Antonio, J. et al. (2021) ‘Common questions and misconceptions about creatine supplementation: what does the scientific evidence really show?’, Journal of the International Society of Sports Nutrition, 18(1), p. 13. Available at: https://doi.org/10.1186/s12970-021-00412-w.
Balsom, P.D., Söderlund, K. and Ekblom, B. (1994) ‘Creatine in humans with special reference to creatine supplementation’, Sports Medicine (Auckland, N.Z.), 18(4), pp. 268–280. Available at: https://doi.org/10.2165/00007256-199418040-00005.
Bonilla, D.A. et al. (2021) ‘Metabolic Basis of Creatine in Health and Disease: A Bioinformatics-Assisted Review’, Nutrients, 13(4), p. 1238. Available at: https://doi.org/10.3390/nu13041238.
Candow, D.G. et al. (2023) ‘“Heads Up” for Creatine Supplementation and its Potential Applications for Brain Health and Function’, Sports Medicine (Auckland, N.Z.), 53(Suppl 1), pp. 49–65. Available at: https://doi.org/10.1007/s40279-023-01870-9.
Gordji-Nejad, A. et al. (2024) ‘Single dose creatine improves cognitive performance and induces changes in cerebral high energy phosphates during sleep deprivation’, Scientific Reports, 14(1), p. 4937. Available at: https://doi.org/10.1038/s41598-024-54249-9.
Kreider, R.B. et al. (2017) ‘International Society of Sports Nutrition position stand: safety and efficacy of creatine supplementation in exercise, sport, and medicine’, Journal of the International Society of Sports Nutrition, 14(1), p. 18. Available at: https://doi.org/10.1186/s12970-017-0173-z.
Kreider, R.B. et al. (2025) ‘Safety of creatine supplementation: analysis of the prevalence of reported side effects in clinical trials and adverse event reports’, Journal of the International Society of Sports Nutrition, 22(sup1), p. 2488937. Available at: https://doi.org/10.1080/15502783.2025.2488937.
Kreider, R.B. and Stout, J.R. (2021) ‘Creatine in Health and Disease’, Nutrients, 13(2), p. 447. Available at: https://doi.org/10.3390/nu13020447.
Rae, C.D. and Bröer, S. (2015) ‘Creatine as a booster for human brain function. How might it work?’, Neurochemistry International, 89, pp. 249–259. Available at: https://doi.org/10.1016/j.neuint.2015.08.010.
Roschel, H. et al. (2021) ‘Creatine Supplementation and Brain Health’, Nutrients, 13(2), p. 586. Available at: https://doi.org/10.3390/nu13020586.
Sandkühler, J.F. et al. (2023) ‘The effects of creatine supplementation on cognitive performance —a randomised controlled study’, BMC Medicine, 21(1), p. 440. Available at: https://doi.org/10.1186/s12916-023-03146-5.
Sherpa, N.N. et al. (2025) ‘Efficacy and safety profile of oral creatine monohydrate in add-on to cognitive-behavioural therapy in depression: An 8-week pilot, double-blind, randomised, placebo-controlled feasibility and exploratory trial in an under-resourced area’, European Neuropsychopharmacology, 90, pp. 28–35. Available at: https://doi.org/10.1016/j.euroneuro.2024.10.004.
Smith, A.N., Choi, I. et al. (2025) ‘Creatine monohydrate pilot in Alzheimer’s: Feasibility, brain creatine, and cognition’, Alzheimer’s & Dementia: Translational Research & Clinical Interventions, 11(2), p. e70101. Available at: https://doi.org/10.1002/trc2.70101.
Smith, A.N., Sullivan, D.K. et al. (2025) ‘Eight weeks of creatine monohydrate supplementation is associated with increased muscle strength and size in Alzheimer’s disease: data from a single-arm pilot study’, Frontiers in Nutrition, 12. Available at: https://doi.org/10.3389/fnut.2025.1670641.
Tarnopolsky, M. and Martin, J. (1999) ‘Creatine monohydrate increases strength in patients with neuromuscular disease’, Neurology, 52(4), pp. 854–854. Available at: https://doi.org/10.1212/WNL.52.4.854.
Woodcock, I.R. et al. (2025) ‘Effect of creatine monohydrate on motor function in children with facioscapulohumeral muscular dystrophy: A multicenter, randomized, double-blind placebo-controlled crossover trial’, Pharmacotherapy: The Journal of Human Pharmacology and Drug Therapy, 45(6), pp. 341–351. Available at: https://doi.org/10.1002/phar.70025.
Wyss, M. and Kaddurah-Daouk, R. (2000) ‘Creatine and Creatinine Metabolism’, Physiological Reviews [Preprint]. Available at: https://doi.org/10.1152/physrev.2000.80.3.1107.
Blogs and Insights


